Grupos funcionales de la química orgánica
a) los alcanos son compuestos saturados, formados
por enlaces simples entre C y C. la hibridación de los C es sp³. sólo hay
uniones de tipo sigma: entre orbitales sp³ y sp³ de los C, y sp³ de
un C con el orbital s del H. son compuestos de muy escasa reactividad química.
ejemplo, el etano CH3-CH3
b) los alquenos son compuestos
insaturados, porque presentan dobles enlaces entre C y C. la
hibridación del C será sp². va a haber uniones sigma: entre orbital sp² del C y
s del H, y entre orbitales sp² de los C; además habrá uniones pi, entre la
orbital p pura de un C con la p pura de otro, lo que forma el doble enlace (un
componente sigma y otro pi). son compuestos planos, en los que los e- pi se
extienden por arriba y por debajo del plano, por lo que son buenos nucleófilos
y dan reacciones de adición electrofílica. la longitud del enlace es más corta
que en enlaces simples, pero más larga que triples. ejemplo, el eteno CH2=CH2

c) los alquinos son compuestos
insaturados, que presentan enlaces triples entre C (la hibridación es sp). va a
haber uniones sigma (entre orbitales sp del C con s del H, y sp del C con otro
sp de otro C) y 2 uniones pi, donde ambas van a resultar de la unión de
orbitales p puros de un C con los p puros de otro (cada C va a tener 2
orbitales p puros, con 1e- cada uno). son compuestos lineales, que se comportan
como nucleófilos y van a dar reacciones de adición electrofílica. la longitud
del enlace es más corta que la de enlaces simples y dobles. ejemplo, el etino
CH=CHH-C=C-H
d)Alcohol, término aplicado a
los miembros de un grupo de compuestos químicos del carbono que contienen el
grupo OH. Dicha denominación se utiliza comúnmente para designar un compuesto
específico: el alcohol etílico o etanol. Proviene de la
palabra árabe al-kuhl, o kohl, un polvo fino de antimonio que se utiliza para
el maquillaje de ojos. En un principio, el término alcohol se empleaba para
referirse a cualquier tipo de polvo fino, aunque más tarde los alquimistas de
la Europa medieval lo utilizaron para las
esencias obtenidas por destilación, estableciendo así su acepción actual.
e) Aldehído: Cada uno de los
compuestos orgánicos que contienen el grupo carbonilo (CO) y que responden a la
fórmula general donde R es un átomo de hidrógeno (es el caso del metanal) o un
radical hidrocarbonado alifático o aromático.
La mayoría de los
aldehídos son solubles en agua y presentan puntos de ebullición elevados. El
grupo carbonilo les proporciona una gran reactividad desde el punto de vista
químico; dan ácidos carboxílicos con mucha facilidad. Los aldehídos se obtienen
a partir de los alcoholes primarios, controlando el proceso para evitar que el
aldehído pase a ácido.
Estos compuestos
están presentes en muchas frutas, siendo responsables de su olor y sabor
característicos, y tienen mucha importancia en la fabricación de plásticos,
tintes, aditivos y otros compuestos químicos. Los dos primeros de la serie son
el metanal y el etanal.
F) Cetonas: Cada uno de los
compuestos orgánicos que contienen el grupo carbonilo (CO) y que responden a la
fórmula general R—CO—Rð, en la que R y Rð representan radicales orgánicos. Al
grupo carbonilo se debe la disolución de las cetonas en agua. Son compuestos
relativamente reactivos, y por eso resultan muy útiles para sintetizar otros
compuestos; también son productos intermedios importantes en el metabolismo de las células. Se obtienen a
partir de los alcoholes secundarios. La cetona más simple, la propanona o
acetona, CH3COCH3, es un producto del metabolismo de las grasas, pero en condiciones normales se oxida
rápidamente a agua y dióxido de carbono. Sin embargo, en la diabetes mellitus la propanona se acumula en
el cuerpo y puede ser detectada en la orina. Otras cetonas son el alcanfor,
muchos de los esteroides, y algunas fragancias y azúcares.

h) Éteres: más
específicamente éter etílico o etoxietano, compuesto líquido incoloro, de
fórmula (C2H5)2O, y con un punto de ebullición de 34,6 °C. Es extremamente
volátil e inflamable, tiene un olor fuerte y característico, y un sabor dulce y
a quemado. El éter es casi insoluble en agua, pero se disuelve en todas las
proporciones en la mayoría de los disolventes líquidos orgánicos, como el
alcohol y el disulfuro de carbono. El éter es uno de los disolventes orgánicos
más importantes y se usa con frecuencia en el laboratorio como disolvente de grasas,
aceites, resinas y alcaloides, entre otros compuestos. La mezcla de vapor de
éter y aire es muy explosiva; además, con el tiempo el éter puede oxidarse parcialmente
formando un peróxido explosivo. Por lo tanto, el éter debe almacenarse y
manejarse con mucho cuidado. Se usa principalmente como disolvente, como materia prima para fabricar productos
químicos y como anestésico.

i) Ésteres: En química
orgánica, compuesto formado (junto con agua) por la reacción de un ácido y un
alcohol. Puesto que este proceso es análogo a la neutralización de un ácido por
una base en la formación de una sal, antiguamente los ésteres eran denominados
sales etéreas. Este término es incorrecto porque los ésteres, a diferencia de
las sales, no se ionizan en disolución.
j) Aminas: Nombre
que reciben los compuestos producidos a menudo en la descomposición de la materia orgánica, que se forman por
sustitución de uno o varios átomos de hidrógeno del amoníaco por grupos
orgánicos.
El número de grupos
orgánicos unidos al átomo de nitrógeno determina que la molécula sea
clasificada como amina primaria (un grupo orgánico), secundaria (dos grupos) o
terciaria (tres grupos).
La mayoría de las
aminas tienen un olor desagradable y son solubles en agua. Sus puntos de
ebullición son superiores a los hidrocarburos de análoga masa molecular e
inferiores a los correspondientes alcoholes.
Las aminas
tienen carácter básico; son bases más fuertes que
el agua y, en general, que el amoníaco. El principal método de obtención de estos compuestos es
la reacción entre el amoníaco y un halogenuro de alquilo .Una de las aminas más
importantes es la anilina, la amina aromática más sencilla.
k) Amidas: Cada uno de los
compuestos orgánicos que se pueden considerar derivados de un ácido carboxílico
por sustitución del grupo —OH del ácido por un grupo —NH2, —NHR o —NRRð (siendo
R y Rð radicales orgánicos). Formalmente también se pueden considerar derivados
del amoníaco, de una amina primaria o de una amina secundaria por sustitución
de un hidrógeno por un radical ácido, dando lugar a una amida primaria,
secundaria o terciaria, respectivamente.
Todas las amidas,
excepto la primera de la serie, son sólidas a temperatura ambiente y sus puntos
de ebullición son elevados, más altos que los de los ácidos correspondientes.
Presentan excelentes propiedades disolventes y son bases muy débiles. Uno de
los principales métodos de obtención de estos compuestos
consiste en hacer reaccionar el amoníaco (o aminas primarias o secundarias) con
ésteres.
Las amidas son
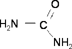
comunes en la naturaleza, y una de las más conocidas es la urea, una diamida
que no contiene hidrocarburos. Las proteínas y los péptidos están formados por
amidas. Un ejemplo de poliamida de cadena larga es el nailon. Las amidas también
se utilizan mucho en la industria farmacéutica.
Ácido Carboxilico
Los ácidos carboxílicos tienen como fórmula general
R-COOH. Tiene propiedades ácidas; los dos átomos de oxígeno son electronegativosy tienden a atraer a los electrones del
átomo de hidrógeno del grupohidroxilo con
lo que se debilita el enlace, produciéndose en ciertas condiciones, una ruptura
heterolítica cediendo el correspondiente protón o hidrón,
H+, y quedando el resto de la molécula con carga -1 debido al electrón que
ha perdido el átomo de hidrógeno, por lo que la molécula queda como R-COO-.
Además, en este anión, la carga negativa se
distribuye (se deslocaliza) simétricamente entre los dos átomos de oxígeno, de
forma que los enlaces carbono-oxígeno adquieren un carácter de enlace
parcialmente doble.
Bibliografia